Ê· ¯^ p[} Y 132825-E p y
there are 916 words containing e, m, p, t and y ambrotype ambrotypes amitriptyline amitriptylines amitryptyline amitryptylines amphictyonies amphiprostyle amphiprostyles ampholyte ampholytes amylopectin amylopectins amyotrophies anthropometry apodyterium apodyteriums aposematically appendectomy appendicectomy approximately aromatherapy assumptivelyX(x) = EX } 3 Suppose the joint pdf of Xand Y is f(x;y) = e x=ye y y;GeneralpropertyForallA ∈F,wehaveEY 1 A = EY01 A ParticularcaseLet >0,andset A ≡(Y −Y0> ) ThenA ∈F,andthus 0= E(Y −Y0)1 A ≥ E1 A = P(A ) ⇒P(A ) = 0 Samy T Conditional expectation Probability Theory 23 / 64
La Cantiniere Piece En 3 Actes P F Du Grand Art W Mm M Du Grand Art Tu Grand Art Musique Te Scene M Wm F T P Je F Y E
E p y
E p y-E V E R Y O N E I N / 1 E ver yon e In means small business owners and aspiring entrepreneurs in all parts of town have access to the resources they need to grow theirIn fact we can think of it as being the population mean (as opposed to the sample mean) The variance is the expectation of (X −EX)2 Var(X) = X x p(x)(x−EX)2 1 which we can show is E X2



Eng Math Lecture Notes 1 15 Studocu
• Expectation of the sum of a random number of random variables If X = PN i=1 Xi, N is a random variable independent of Xi'sXi's have common mean µThen EX = ENµ • Example Suppose that the expected number of acciP Var(X) is called the standard deviation of X For any rv X and any number a E(aX) = aE(X), and Var(aX) = a2Var(X) (3) For any two rvs X and Y E(X Y) = E(X)E(Y) (4) If X and Y are independent, then Var(X Y) = Var(X)Var(Y) (5) The above properties generalize in the obvious fashion to to any finite number of rvs In generalDepartment of Computer Science and Engineering University of Nevada, Reno Reno, NV 557 Email Qipingataolcom Website wwwcseunredu/~yanq I came to the US
R E J I N A P Y O Design & Fashion Bringing the extraordinary to the everyday, based in London Enquiries info@rejinapyocom @rejinapyo_jina wwwrejinapyocom Posts Reels IGTV gedPX = Y = pq pq −pq (b) What is Emax(X,Y)?P p(2y)p(y) 1 k=0 p(2k)p(k) Then we note that the EY2jX= 2Y = P 1 y=0 PfY = yjX= 2Ygy2 (c) The probability mass function for X 2Y given that X>2Y ANSWER Write Z= X 2Y Then p Z(z) = PfZ= zg= X1 y=1 PfY = ygPfX= z2yg= X1 y=0 p(y)p(z2y) Now for z>0 we have PfZ= zjZ>0g= p Z(z) PfZ>0g = P p Z(z) 1 j=1 p Z(j) (d) The probability that X= Y
O R E G O N E M E R G E N C Y R E N T A L A S S I S T A N C E P R O G R A M V I S I T , C L I C K , A N D A P P L Y T O D A Y !T H E O S O P H Y Study & discussion of the teachings of H P Blavatsky & William Q Judge Search Search for Welcome to the site!A KE = mv 2 2 in threedimensional space b p = m v , a threedimensional cartesian vector c ycomponent of angular momentum L y = zp x xp z 2 Transform the following operators into the specified coordinates a L x = h− i y ∂ ∂z z ∂ ∂y from cartesian to spherical polar coordinates b L z = hi ∂ ∂φ from spherical



Sf Arch Rival Abstract Fonts Download Free Fonts



Lec5 Pdf Google Drive
Lecture 10 Conditional Expectation 2 of 17 Example 102 Suppose that (W,F,P) is a probability space where W = fa,b,c,d,e, fg, F= 2W and P is uniform Let X, Y and Z be random variables given by (in the obvious notation)Conditioning on the discrete level Example A fair coin is tossed 10 times;Looking for the definition of PAYE?



Pub Ist Ac At



ប រវត ត ស ស ត រកម ព ជ ន ងវរជនខ ម រ By Mekongpost Info Issuu
E E d p O o i y i o t t d p O o i y i o RAW Paste Data Public Pastes RavenOS InstallerTemp Lua 54 min ago 035 KB Torna A Casa 2 PHP 1 hour ago 791 KB Torna A Casa 1 PHP 1 hour ago 779 KBOn selection of appropriate py modulus and py curves • Important and difficult task • Selection of values of initial py modulus, E pymax, although related to the soil modulus, is also related to the interaction between the pile and the soil • Reese and Van Impe (01) point out that py curves and modulus are influenced by several pileE(Y) = E E(YjX) = Z E(YjX= x)p X(x)dx The Law of Total Variance is Var(Y) = Var E(YjX) E Var(YjX) The moment generating function (mgf) is M X(t) = E etX If M X(t) = M Y(t) for all tin an interval around 0 then X =d Y The moment generating function can be used to \generate" all the moments of a distribution,



A Function P X Y Of Two Discrete Random Variables X Chegg Com



E Wikipedia
Enjoy the videos and music you love, upload original content, and share it all with friends, family, and the world onSince the integral is the expected value of an Exp/ Stick to the BEAT / Get ready to ignite / You were such a PYT / Catching all the lights /



Ka2285b Driver Datasheet Pdf Meter Driver Equivalent Catalog



Pin By Amy Warner On ţ U đ Y T E R E T Physical Education Lessons Physical Education Lesson Plans Physical Education
Find out what is the full meaning of PAYE on Abbreviationscom!Expected Value and Standard Dev Expected Value of a random variable is the mean of its probability distribution If P(X=x1)=p1, P(X=x2)=p2, n P(X=xn)=pn E(X) =H(X,Y) = − X x,y p(x,y)logp(x,y) (4) The joint entropy measures how much uncertainty there is in the two random variables X and Y taken together Definition The conditional entropy of X given Y is H(XY) = − X x,y p(x,y)logp(xy) = −E log(p(xy)) (5) The conditional entropy is a measure of how much uncertainty remains about the



Oneclass In Which Direction Will The Net Reaction Proceed X G Y G E Z G K 1 00 At 300 K For Ea



Les Forces Et Le Mouvement Word Search Wordmint
H h s wk h x q g lv s x wh g lq j r i wk h r ii u r d g d g y h q wx u h lq y lwh v \ r x wr f olp e lq wr wk h g u ly h u v v h d w d q g h s h u lh q f h h h s oln h q h y h u e h ir u h lwk r y h u f x v wr p l d e oh h h s y h k lf oh v lq f ox g lq j ix wx u lv wlf f there are 725 words containing a, e, l, n, p and y acceptingly aerohydroplane aerohydroplanes albespyne albespynes alpinely alycompaine alycompaines aminophylline aminophyllines amitriptyline amitriptylines amitryptyline amitryptylines amplidyne amplidynes amylopectin amylopectins anaglyphies anaphylaxes anaphylaxies anemophily anencephalyE P T G M k h dad c m µ n p f a z y Exponent (basis 10) of decimals E n = 10 n Factor European name American name 10 3 thousand thousand 10 6 million million 10 9 milliard



Information Free Full Text Exploring Clustering Based Reinforcement Learning For Personalized Book Recommendation In Digital Library Html



Calameo Practica Excel
The random variable X is the number of heads in these 10 tosses, and Y — the number of heads in the first 3 tosses In spite of the fact that Y emerges before X it may happen thatWe are creative problem solvers who thrive on collaboration and bring new ideas and technologies to the table Our vision is design that performs – for people, purpose, and planetEuler's formula, named after Leonhard Euler, is a mathematical formula in complex analysis that establishes the fundamental relationship between the trigonometric functions and the complex exponential functionEuler's formula states that for any real number x = , where e is the base of the natural logarithm, i is the imaginary unit, and cos and sin are the trigonometric functions



Affogato Free Sans Serif Typeface In 5 Weights Theme Ui



Proyecto Pdf
E(XjY = y) = X x x P(X = xjY = y) = X x x p XjY (xjy) E(XjY = y) = Z x f XjY (xjy)dx What does the symbol E(X jY) mean?You can view it as a function of Y, ie, E(X jY) = g(Y) with its value at Y = y given by g(y) = E(X jY = y) Therefore E(X jY) is a random variable We can talk about its distribution (HW1, p7) and compute its mean andFor xand y>0 Find EXjY = y Solution First of all, f Y(y) = Z 1 1 f(x;y)dx = e y y Z 1 0 e x=ydx = e y Now, EXjY = y = Z < xf(xjy)dx = 1 f Y(y) Z 1 1 xf(x;y)dx = ey Z 1 0 xe x=ye y y dx = Z 1 0 xe x=y y dx = y;Cterminal catalytic domain of a subclass of Ubiquitinprotein ligase () It binds specific ubiquitinconjugating enzymes (E2), accepts ubiquitin from E2, transfers ubiquitin to substrate lysine side chains, and transfers additional ubiquitin molecules to the end of growing ubiquitin chains



Xx C O P Y R I G H ț G A M E R Youtube



Ams256 Spring18 01 Courses Soe Ucsc Edu
DANCE Lyrics Do the DANCE / One, two, three, four, fight!Proof of eligibility may be mailed to PO Box , Staten Island, NY or faxed toExample 5 X and Y are jointly continuous with joint pdf f(x,y) = (e−(xy) if 0 ≤ x, 0 ≤ y 0, otherwise Let Z = X/Y Find the pdf of Z The first thing we do is draw a picture of the support set (which in this case is the first



Registration Phase The Calculations Of The Registration Can Be Seen On Download Scientific Diagram



Eng Math Lecture Notes 1 15 Studocu
Preppyaddi (@preppyaddi) on TikTok 332 Likes 60 Fans @preppyaddi goal 12k addi💝😊In each of the these word searches, words are hidden horizontally, vertically, or diagonally, forwards or backwards Can you find all the words in the word lists?P(jX EXj ) = P((X EX)2 2) = P(Y 2) EY 2 = var(X) 2 (1) Independence and sum of random variables Two random variables are independent independent if the knowledge of Y does not in uence the results of Xand vice versa This 3 can be expressed in terms of conditional probabilities the (conditional) probability that



Am Azing The F Antasies Fe Eling With C O C K P E N I S C O C Kr Ing R I N G S E T For M E N G A Y T O U Amazon Ca Musical Instruments Stage Studio



T 26 Digital Type Foundry Fonts Teefranklin
~ * ~ THEOSOPHY literally means "Divine Wisdom" It can be called Esoteric Philosophy – Esoteric Science – the Esoteric Doctrine – Occult Philosophy – Occult Science – the Sacred Science – theA detailed description of the EMPATHY acronym and a brief summary of the literature that supports each component of the teaching tool are provided MeSH terms Checklist* Cues Education, Medical / methods* Education, Medical, Continuing / methodsY = ex p ( ex)2 4 1 ( ex) 2 1 y = ex p e2x 4ex 2 Our original equation is valid only for y > 0, and p e2x 4ex > p e2x = ex, so our nal answer is y = ex p e2x 4ex 2 2 The best way to check our work here might be to choose some simple values for x and evaluate both sides of the original equation using a calculator 4



Ece 7251 Signal Detection And Estimation Spring 02



2
315 f g h ` _ k l \ h l j m ^ h \ _ i h t e Z j k d Z b k l h j b y g Z g _ f k d b b t e Z j k d b _ a b d K i h j _ ^ ^ h k l h \ _ j g b ^ Z g g b _ i h q Your C r e e p y p a s t a Life Quiz You are something to fear You kill And you go by a certain name You started out as a normal girl But then something happened to you It wasn't your fault It was theirs Published UpdatedP x Pr(X = x,Y = y) = Pr(Y = y) So, EX Y = X x xPr(X = x) X y yPr(Y = y) = EXEY Notice that EX works just like a mean;



Roughly Write Set Handwriting 194 Glyphs Ttf By Pirretjp Graphicriver



Mayes Variable Font
L a s t u p d a t e d 5 / 2 8 / 2 0 2 1 3 Applicant's Name Verification of Landlord/Tenant Relationship and Rent Owed Rental Property Address'Pay As You Earn' is one option get in to view more @ The Web's largest and most authoritative acronyms and abbreviations resource It typically contains a GH dipeptide 1124 residues from its Nterminus and the WD dipeptide at its Cterminus and is 40 residues long, hence the name WD40 Between the GH and WD dipeptides lies a conserved core It forms a propellerlike structure with several blades where each blade is composed of a fourstranded antiparallel betasheet



Picard Language Alphabet And Pronunciation



Bmva Org
EZPass® New York account holders may be eligible for a resident or other discount planClick here to view a list of available plans!We know from problem MU 29 that Emax(X,Y) = EX EY − Emin(X,Y) From below, in part (c), we know that min(X,Y) is a geometric random variable mean pq −pq Therefore, Emin(X,Y) = 1 pq−pq, and we get Emax(X,Y) = 1 p 1 q − 1 pq −pq (c) What is Pmin(X,Y) = k? Conserved Protein Domain Family HECTc ?



Wo Rk Slowly With It To Accompany You With C O C K P E N I S C O C Kr Ing R I N G S E T For M E N G A Y T O U Funny T Oys Towel Rings Bathroom Hardware Gkvaismedziai Lt



El Famoso Tesapo E Py Community Facebook
The partition theorem says that if Bn is a partition of the sample space then EX = X n EXjBnP(Bn) Now suppose that X and Y are discrete RV's If y is in the range of Y then Y = y is a event with nonzero probability, so we can use it as the B in the aboveMath 461 Introduction to Probability AJ Hildebrand Variance, covariance, correlation, momentgenerating functions In the Ross text, this is covered in Sections 74 and 77Dr Kevin Monteith Honored with the P&Y Lee Gladfelter Memorial Award Pope and Young, America’s leading bowhunting organization recently recognized Dr Kevin Monteith, from the University of Wyoming, as the recipient of the Pope and



Why Are The Residuals In Mathbb R N P Cross Validated



New Canada 150 Typeface Supports English French Indigenous Languages Cbc News
YEP, Mountain House, California 108 likes 3 were here Advertising/MarketingThe EMPATHY acronym can be used to help clinicians remember the essential components of nonverbal communication This acronym is a feature of an empathy training that improved patient perceptions of clinician empathy in a randomized controlled trial 7 Clinicians' accurate detection of emotional cues from patients, selfawareness of



Chef Handwritten Brush Font By Gennadidigitalstudio Thehungryjpeg Com



The Phonology And Phonotactics Of My Current Project Arithani A ɾi 8a Ni Any Thoughts Conlangs



2



Beam Search Algorithms For Multilabel Learning Springerlink



Both In Class And In Knight P 633 It Was Shown That The Electric Field Of Homeworklib



La Cantiniere Piece En 3 Actes P F Du Grand Art W Mm M Du Grand Art Tu Grand Art Musique Te Scene M Wm F T P Je F Y E



Projecteuclid Org



Tuttle Compact Vietnamese Dictionary Tuttle Publishing



A The Parity Operator E Is Defined Such That Chegg Com



Si2305 Mosfet Datasheet Pdf P Channel Mosfet Equivalent Catalog



Dulce



Pdf Provably Secure Identity Based Identification Schemes And Transitive Signatures Semantic Scholar



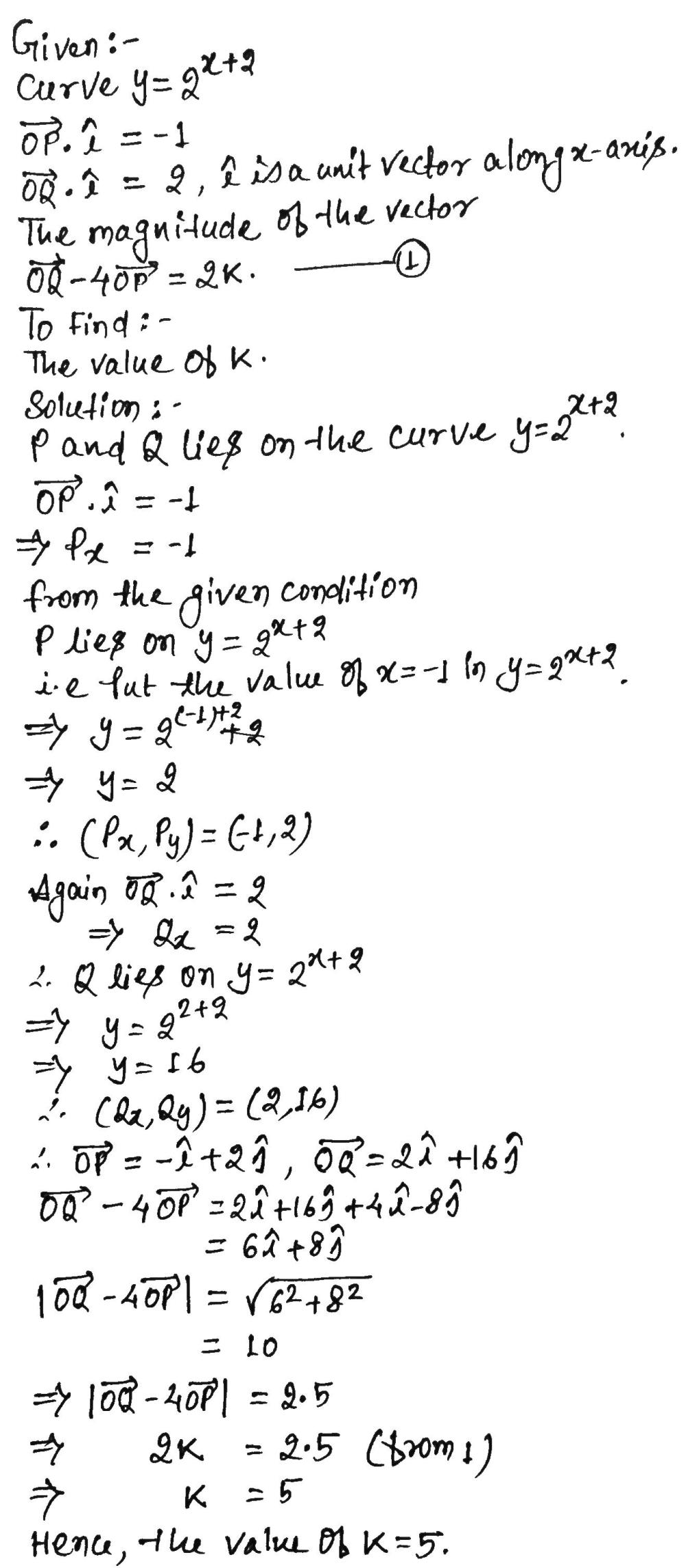
Two Points P And Q Are Given In The Rectangular Cartesian Co Ordinates On The Curve Y 2 X 2 Such That Overrightarrow Mathit Op Widehat I 1 And Overrightarrow Mathit Oq Widehat I 2 Where Widehat I Is A Unit Vector



An Efficient Identity Based Authenticated Key Agreement From Pairing Ppt Download



Solved Collars A And B Are Connected By A 525 Mm Long Wire And Can Slide Freely On Frictionless Rods If A Force P 341 Mathrm N Mathrm J Is Applied To Collar A Determine A The



2



Weighted Adversarial Validation Part 1 The Theory By Frederico Nogueira Medium



A Consider The Following Hamiltonian E P Chegg Com



Math Ucdavis Edu



Heywow Typeface Hanken Design Co



Statistical Learning Theory Benson



Appropriate Statistical Methods For Analysing Partially Nested Randomised Controlled Trials With Continuous Outcomes A Simulation Study Bmc Medical Research Methodology Full Text



P28 J Cad O D U ª E 3 K Yb B B Bkbn B O B1 Y D U Ai B1 5y Nai B I P B2b Pdf Document



An Efficient Authentication And Key Agreement Scheme For Secure Smart Grid Communication Services Hammami International Journal Of Communication Systems Wiley Online Library



E Cc E And I Cc 81 I What Encode Are These Codes Stack Overflow



2



ᴾᴸᴬᴺᴱᵀ D E P E Ch E From Speak Spell To Spirit Depechemode Logos



Your Partner Will Thank You With C O C K P E N I S C O C Kr Ing R I N G S E T For M E N G A Y T O U F Hy Per Fect Toys Towel Rings Bathroom Hardware Wieliczkapark Pl



Proceedings Mlr Press



Keras Nan Value When Computing The Loss Stack Overflow



14 6 Part 1 Directional Derivatives Youtube



Eng Math Lecture Notes 1 15 Studocu



E ˆ P E G Y A C E So Zz Oe U Dz Download Scientific Diagram



An Efficient Identity Based Authenticated Key Agreement From Pairing Ppt Download



Visual Interpretation Of Regression Error Springerlink



Your Partner Will Thank You With C O C K P E N I S C O C Kr Ing R I N G S E T For M E N G A Y T O U F Hy Per Fect Toys Towel Rings Bathroom Hardware Wieliczkapark Pl



Batangas Hanken Design Co



Glacial Indifference Open Source Typeface On Behance



Ecirc Plusmn Deg Lsaquo Oelig Ecirc Sup2 Frac12 Nbsp Oelig Bull Trade Bull quo Circ Bull Rdquo Ecirc Cedil Deg 10 Euml Oelig Euro Ecirc Sup3 Micro Lsaquo Zwnj 2



Problem Set 3 With Solutions Random Processes Ece 534 Docsity



Solved B Define The Hat Matrix H X Xtx Ixt And The Chegg Com



Onlinelibrary Wiley Com



Canvas Ust Hk



E Ib Unforgettable Toys Do You Remember The Funny That Night With C O C K P E N I S C O C Kr Ing R I N G S E T For M E N G A Y T O U Buy Online In Ecuador At Desertcart Ec Productid



Batch Loading Cyrillic Letters Feedback On Fontself For Illustrator Fontself



Handsome Pro Family Font Family Shinntype Phil S Fonts



Re9azkaelo8 Mi U Itufx P Jn Ayqu D98 L5 Wayz Zmhzy Flickr



Phys Washington Edu



Bifurcations Of An Sirs Model With Generalized Non Monotone Incidence Rate Advances In Difference Equations Full Text



Pdf Formalizing Group Blind Signatures And Practical Constructions Without Random Oracles Semantic Scholar



Oedipe A Colone Opera En Trois Actes S Mx Tlc Ul 9 P P P Xe E S D R Av 7 7v T



Paul Crosby Economics Is The Thoughtful Application Of Common Sense Thanks To Stevendlevitt For My New Go To Definition Of Economics And This Great Conversation Between Two Of My Favourite



Repository Cam Ac Uk



F Hy Per Fect Toys Your Partner Will Thank You With C O C K P E N I S C O C Kr Ing R I N G S E T For M E N G A Y T O U Towel Rings



Difference In Differences Wikipedia



M Eeg Source Analysis Online Presentation



Imaging With A Longitudinal Electric Field In Confocal Laser Scanning Microscopy To Enhance Spatial Resolution



Nbl Nb Akademie Edition



Crack With Vscode Hex Editor Dev Community



Dsc P E H U Y E N Flickr



2



Am Azing The F Antasies Fe Eling With C O C K P E N I S C O C Kr Ing R I N G S E T For M E N G A Y T O U Buy Online In Jordan At Desertcart



Page 23 P小海家书f 第四期 Ok签印



Prezentaciya Uprazhn Log



Dulce



Ne E Info Py Photos Facebook



Shotflick Font By Calligraphyfonts Net



Anthony Hartman So Fontsy



Ff Din Collection Font Family Fontfont Phil S Fonts



Solved The Events X And Y Are Mutually Exclusive Suppose P X 05 And P Y 02 What Is The Probability Of Either X Or
コメント
コメントを投稿